首页 返回 新闻科普

GB 1886.78-2016 食品安全国家标准 食品添加剂 番茄红素(合成)

信息详细

GB 1886.78-2016 食品安全国家标准 食品添加剂 番茄红素(合成)

范围

本标准适用于以食品的其他类胡萝卜素生产中常用的合成中间体为原料经维蒂希缩合反应制得的食品添加剂番茄红素。

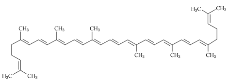
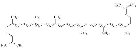
分子式、结构式和相对分子质量
2.1 分子式

      C40H56

2.2 结构式

       

 

2.3 相对分子质量

      536.87(按2007年国际相对原子质量)

技术要求

3.1 感官要求

      感官要求应符合表1的规定。

感官要求

项目

要求

检验方法

色泽

红色至紫红色

取适量试样置于清洁、干燥的白瓷盘中,在自然光线下观察其色泽和状态

状态

晶体

 

3.2 理化指标

      理化指标应符合表2的规定。


更多标准内容点击以下链接获取标准全文:

下载地址:《GB 1886.78-2016 食品安全国家标准 食品添加剂 番茄红素(合成)

电话: 076982652668
广东华科检测技术服务有限公司 版权所有