首页 返回 新闻科普

GB 1886.99-2015 食品安全国家标准 食品添加剂 L-α-天冬氨酰-N-(2,2,4,4-四甲基-3-硫化三亚甲基)-D-丙氨酰胺(又名阿力甜)

信息详细


GB 1886.99-2015 食品安全国家标准 食品添加剂 L-α-天冬氨酰-N-2,2,4,4-四甲基-3-硫化三亚甲基)-D-丙氨酰胺(又名阿力甜)

范围

本标准适用于食品添加剂L-α-天冬氨酰-N-2,2,4,4-四甲基-3-硫化三亚甲基)-D-丙氨酰胺(又名阿力甜)。

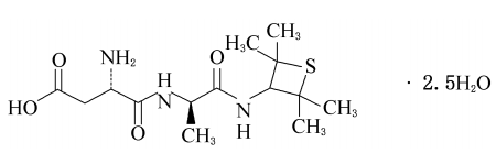
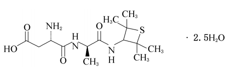
化学名称、分子式、结构式和相对分子质量

2.1 化学名称

      L-α-天冬氨酰-N-2,2,4,4-四甲基-3-硫化三亚甲基)-D-丙氨酰胺

2.2 分子式

      C14H25N3O4S▪2.5H2O

2.3 结构式

       

2.4 相对分子质量

      376.47(按2007年国际相对原子质量)

技术要求

3.1 感官要求

      感官要求应符合表1的规定。

感官要求

项目

要求

检验方法

色泽

白色

将样品置于清洁、干燥的白瓷盘中,在自然光线下,观察其色泽状态,嗅其气味

状态

结晶粉末

气味

无味或略有特殊性气味

 

更多标准内容点击以下链接获取标准全文:

下载地址:《GB 1886.99-2015 食品安全国家标准 食品添加剂 L-α-天冬氨酰-N-(2,2,4,4-四甲基-3-硫化三亚甲基)-D-丙氨酰胺(又名阿力甜)

电话: 076982652668
广东华科检测技术服务有限公司 版权所有