首页 返回 新闻科普

GB 1886.109-2015 食品安全国家标准 食品添加剂 羟丙基甲基纤维素(HPMC)

信息详细

GB 1886.109-2015 食品安全国家标准 食品添加剂 羟丙基甲基纤维素(HPMC

范围

      本标准适用于食品添加剂羟丙基甲基纤维素(HPMC)。

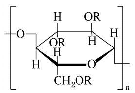
结构式

       

      R=HCH3CH2CHOHCH

技术要求

3.1 感官要求

      感官要求应符合表1的规定。

感官要求

项目

要求

检验方法

色泽

白色至灰白色

取适量试样置于清洁、干燥的白瓷盘中,在自然光下观察其色泽和状态

状态

纤维状粉末或颗粒

3.2 理化指标

      理化指标应符合表2的规定。

理化指标

项目

指标

检验方法

甲氧基(-OCH3)含量,w/%

19.0~ 30.0

附录AA.4

羟丙氧基(-OCH2CHOHCH3)含量,w/%

3.0-12.0

附录AA.4

干燥减量,w/

5.0

GB 5009.3直接干燥法a


更多标准内容点击以下链接获取标准全文:

下载地址:《GB 1886.109-2015 食品安全国家标准 食品添加剂 羟丙基甲基纤维素(HPMC) 

电话: 076982652668
广东华科检测技术服务有限公司 版权所有