首页 返回 新闻科普

QB/T 4158-2010 营养强化剂 5′-尿苷酸二钠

信息详细

QB/T 4158-2010 营养强化剂 5′-尿苷酸二钠

1 范围

本标准规定了营养强化剂5′-尿苷酸二钠的要求、试验方法、检验规则和标志、包装、运输、贮存、保质期。

      本标准适用于以酵母核糖核酸(RNA)为原料,经5′-磷酸二酯酶降解而制得的5′-尿苷酸二钠。

2 规范性引用文件

下列文件对于本文件的应用是必不可少的。凡是注日期的引用文件,仅注日期的版本适用于本文件。凡是不注日期的引用文件,其最新版本(包括所有的修改单)适用于本文件。

      GB/T 603 化学试剂 实验方法中所用制剂及制品的制备
      GB/T 4789.2 
食品卫生微生物学检验 菌落总数测定
      GB/T 4789.3 
食品卫生微生物学检验 大肠菌群测定
      GB/T 4789.4 食品卫生微生物学检验 沙门氏菌检验

      GB/T 4789.5 食品卫生微生物学检验 志贺氏菌检验

      GB/T 4789.10 食品卫生微生物学检验 金黄色葡萄球菌检验
      GB/I 4789.15 食品卫生微生物学检验 霉菌和酵母计数

      GB/T 5009.3 食品中水分的测定

GB/T 5009.74 食品添加剂中重金属限量试验

GB/T 5009.76 食品添加剂中砷的测定方法

      GB/T 6682 分析实验室用水规格和试验方法

      SN/T 1632.1 奶粉中阪崎肠杆菌检验方法 第1部分:分离与计数方法

      GB/T 6040-2002 红外光谱分析方法通则

      卫生部[2002]26号令(食品添加剂卫生管理办法)

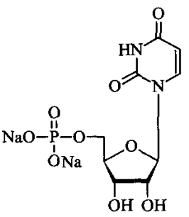
3 化学名称、英文缩写、结构式、分子式、分子量

      化学名称:
      5′-尿苷酸二钠(5′-UMP,Na
2)

      结构式:

       

更多标准内容点击以下链接获取标准全文:

下载地址:《QB/T 4158-2010 营养强化剂 5′-尿苷酸二钠

电话: 076982652668
广东华科检测技术服务有限公司 版权所有