首页 返回 新闻科普

GB 1886.49-2016 食品安全国家标准 食品添加剂 D-异抗坏血酸

信息详细

GB 1886.49-2016 食品安全国家标准 食品添加剂 D-异抗坏血酸

范围

本标准适用于以葡萄糖为原料,经发酵制得2-酮基-D-葡萄糖酸,再经化、转化、酸化、精制等步骤生产的食品添加剂D-异抗坏血酸。

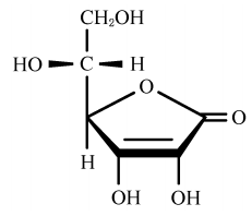
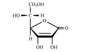
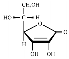
分子式、结构式和相对分子质量
2.1 分子式

      C6H8O6

2.2 结构式

       

2.3 相对分子质量

      176.12(按2007年国际相对原子质量)

技术要求

3.1 感官要求

      感官要求应符合表1的规定。

表 1 感官要求

项目

要求

检验方法

色泽

白色或微黄色

取适量试样置于清洁、干燥的白瓷盘中,在自然光下观察色泽和状态

状态

结晶颗粒或粉末

 3.2 理化指标

理化指标应符合表2的规定。

 

更多标准内容点击以下链接获取标准全文:

下载地址:《GB 1886.49-2016 食品安全国家标准 食品添加剂 D-异抗坏血酸

电话: 076982652668
广东华科检测技术服务有限公司 版权所有