首页 返回 新闻科普

GB 1886.69-2016 食品安全国家标准 食品添加剂 天门冬酰苯丙氨酸甲酯乙酰磺胺酸

信息详细

GB 1886.69-2016 食品安全国家标准 食品添加剂 天门冬酰苯丙氨酸甲酯乙酰磺胺酸

范围

本标准适用于以天门冬苯丙氨酸甲和乙磺胺酸盐为原料,经反应、离心、干燥等步骤加工制得的食品添加剂天门冬苯丙氨酸甲磺胺酸。

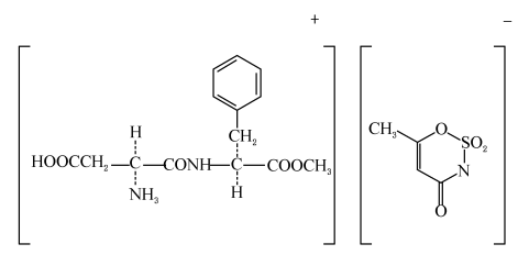
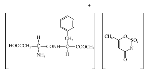
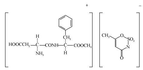
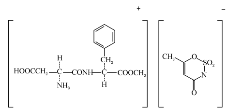
化学名称、分子式、结构式和相对分子质量
2.1 化学名称

[2-羟基-β-N-b-甲氧羰基-2-苯基)乙基氨甲基)]乙胺正离子-6-甲基-4-氧代-1,2,3-u噁噻嗪-3-离子化物-2,2一二氧化物

2.2 分子式

C18H23O9N3S

2.3 结构式

 

      

2.4 相对分子质量

      457.46 (2007年国际相对原子质量)

技术要求

3.1 感官要求

      感官要求应符合表1的规定。

更多标准内容点击以下链接获取标准全文:

下载地址:《GB 1886.69-2016 食品安全国家标准 食品添加剂 天门冬酰苯丙氨酸甲酯乙酰磺胺酸 

电话: 076982652668
广东华科检测技术服务有限公司 版权所有