首页 返回 新闻科普

GB 1886.73-2015 食品安全国家标准 食品添加剂 不溶性聚乙烯聚吡咯烷酮

信息详细

GB 1886.73-2015食品安全国家标准 食品添加剂 不溶性聚乙烯聚吡咯烷酮

1 范围

      本标准适用于以N-乙烯基吡咯烷酮单体为原料在碱性催化剂存在下或使用N,N’-二乙烯基-咪唑啉酮作为交联剂生成的食品添加剂不溶性聚乙烯聚吡咯烷酮。

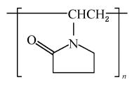
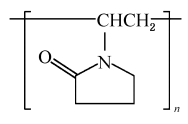
2 分子式、结构式

2.1 分子式

      (C6H9NO)n

2.2 结构式

       

3 技术要求

3.1 感官要求

     感官要求应符合表1的规定。

表1 感官要求

项目

要求

检验方法

色泽

白色,或类似白色

取试样适量至透明玻璃管中,在自然光下背衬黑纸观察

状态

有吸湿性的白色粉末

 3.2 理化指标

      理化指标应符合表2的规定。

 

更多标准内容点击以下链接获取标准全文:

下载地址:《GB 1886.73-2015 食品安全国家标准 食品添加剂 不溶性聚乙烯聚吡咯烷酮

电话: 076982652668
广东华科检测技术服务有限公司 版权所有