首页 返回 新闻科普

GB 1886.74-2015 食品安全国家标准 食品添加剂 柠檬酸钾

信息详细

GB 1886.74-2015 食品安全国家标准 食品添加剂 柠檬酸钾

范围

      本标准适用于以柠檬酸和氢氧化钾或碳酸钾为原料制得的食品添加剂柠檬酸钾。

化学名称、分子式、结构式、相对分子质量

2.1 化学名称\
      
2-经基丙烷-1,2,3羧酸
2.2 
分子式

      C6H5K30O7H2O

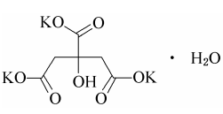
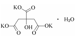
2.3 结构式

       

2.4 相对分子质量

      324.41(按2011年国际相对原子质量)

技术要求

3.1 感官要求

      感官要求应符合表1的规定。

感官要求

项目

指标

检验方法

色泽

白色或无色

取适量样品置于清洁、干燥的白瓷盘中,在自然光线下,观察其色泽和状态

状态

结晶状颗粒或粉末

3.2 理化指标

      理化指标应符合表2的规定。

 

更多标准内容点击以下链接获取标准全文:

下载地址:《GB 1886.74-2015 食品安全国家标准 食品添加剂 柠檬酸钾

电话: 076982652668
广东华科检测技术服务有限公司 版权所有