首页 返回 新闻科普

GB 1886.171-2016 食品安全国家标准 食品添加剂 5’-呈味核苷酸二钠(又名呈味核苷酸二钠)

信息详细


GB 1886.171-2016 食品安全国家标准 食品添加剂 5’-呈味核苷酸二钠(又名呈味核苷酸二钠)

范围

本标准适用于以淀粉、糖质为原料,经发酵法或酶解法制得5’-酸二钠和5’-酸二钠,再经加工制得的食品添加剂5’-呈味核苷酸二钠(又名呈味核苷酸二钠)

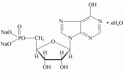
分子式、结构式和相对分子质量 2.1 5'-酸二钠(IMP)

2.1.1 分子式

C10H11N4Na2O8P.nH2O

2.1.2 结构式

      


2.1.3 相对分子质量(无水)

392.17(按2011年国际相对原子质量)

2.2 5'-酸二钠(GMP)

2.2.1 分子式

C10H12N5Na2O8P .nH2O


更多标准内容点击以下链接获取标准全文:

下载地址:《GB 1886.171-2016 食品安全国家标准 食品添加剂 5’-呈味核苷酸二钠(又名呈味核苷酸二钠)

电话: 076982652668
广东华科检测技术服务有限公司 版权所有