首页 返回 新闻科普

GB 1886.256-2016 食品安全国家标准 食品添加剂 甲基纤维素

信息详细

GB 1886.256-2016 食品安全国家标准 食品添加剂 甲基纤维素

1 范围

本标准适用于以木浆或棉浆等天然纤维素为原料,经碱化和醚化处理后,再经洗涤、干燥后制得的食品添加剂甲基纤维素。

2 化学名称、结构式、分子式和相对分子质量
2.1 化学名称

      纤维素甲基醚

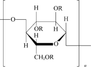
2.2 结构式
      
 
      
R=H或CH3

2.3 分子式 

      [C6 H7O2(OH)x(OCH3)y]n

      其中,x=1.00'~1.55 ,y=2.00~1.45 ,x +y=3.00(y =取代度)。

2.4 相对分子质量(按2011年国际原子质量)

      未取代的结构单元:162.14;

      取代度为1.45的结构单元:182; 取代度为2.0的结构单元:190.

3 技术要求
3.1 感官要求

      感官要求应符合表1的规定。


点击以下链接获取标准全文:

下载地址:《GB 1886.256-2016 食品安全国家标准 食品添加剂 甲基纤维素 

电话: 076982652668
广东华科检测技术服务有限公司 版权所有