首页 返回 新闻科普

GB 1903.8-2015 食品安全国家标准 食品营养强化剂 葡萄糖酸铜

信息详细

GB 1903.8-2015 食品安全国家标准 食品营养强化剂 葡萄糖酸铜

1 范围

本标准适用于由葡萄糖酸与氧化铜或葡萄糖酸盐与铜盐反应,结晶而得的食品营养强化剂葡萄糖酸铜产品;该产品也可由葡萄糖电解成葡萄糖酸后,用碳酸铜中和而制成。

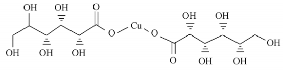
2 分子式、结构式和相对分子质量

2.1 分子式

      C12H22CuO14

2.2 结构式

       

2.3 相对分子质量

      453.84(按2011年国际相对原子质量)

3 技术要求

3.1 感官要求

      感官要求应符合表1的规定。

1 感官要求

项目

要求

检验方法

色泽

浅蓝色

取适量试样置于清洁、干燥的白瓷盘中,在自然光线下,观察其色泽和状态

状态

细小粉末

3.2 理化指标

      理化指标应符合表2的规定。


获取标准全文:

下载地址:《GB 1903.8-2015 食品安全国家标准 食品营养强化剂 葡萄糖酸铜 

电话: 076982652668
广东华科检测技术服务有限公司 版权所有