首页 返回 新闻科普

GB 25547-2010 食品安全国家标准 食品添加剂 脱氢乙酸钠

信息详细

GB 25547-2010 食品安全国家标准 食品添加剂 脱氢乙酸钠

1 范围
      
本标准适用于以脱氢乙酸和氢氧化钠(或碳酸钠或碳酸氢钠)反应制得的食品添加剂脱氢乙酸钠。

2 规范性引用文件
      
本标准中引用的文件对于本标准的应用是必不可少的。凡是注日期的引用文件,仅所注日期的版本适用于本标准。凡是不注日期的引用文件,其最新版本(包括所有的修改单)适用于本标准。

3 化学名称、分子式、结构式和相对分子质量

3.1 化学名称

      3-(1-羟基亚甲基-6-甲基-1, 2-吡喃-2,4 (3H)-二酮钠

3.2 分子式

      C8H7NaO4▪H2O

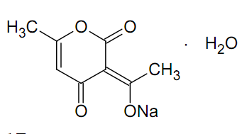
3.3 结构式

       

3.4 相对分子质量

      208.15(按2007年国际相对原子质量)

4 技术要求

4.1 感官要求:应符合表1的规定。

1 感官要求

项目

要求

检验方法

色泽

白色或近白色

取适量实验室样品,置于清洁、干燥的白瓷盘中,在自然光线下,目视观察。

组织状态

粉末

4.2 理化指标:应符合表2的规定。


以上为标准部分内容,点击下方链接下载标准全文:

下载地址:《GB 25547-2010 食品安全国家标准 食品添加剂 脱氢乙酸钠 

电话: 076982652668
广东华科检测技术服务有限公司 版权所有