首页 返回 新闻科普

GB 25548-2010 食品安全国家标准 食品添加剂 丙酸钙

信息详细

GB 25548-2010 食品安全国家标准 食品添加剂 丙酸钙

1 范围

本标准适用于以丙酸和氢氧化钙(或碳酸钙)为原料,经中和、精制、干燥制得的食品添加剂丙酸钙。

2 规范性引用文件

本标准中引用的文件对于本标准的应用是必不可少的。凡是注日期的引用文件,仅所注日期的版本适用于本标准。凡是不注日期的引用文件,其最新版本(包括所有的修改单)适用于本标准。

3 分子式、结构式和相对分子质量

3.1 分子式

      C6H10CaO4▪nH2O(n=0,1)

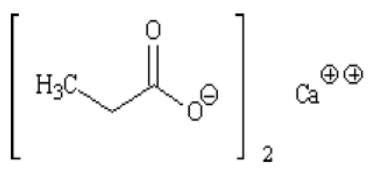
3.2 结构式

       

3.3 相对分子质量 186.22(无水物)(按2007年国际相对原子质量)

4 技术要求

4.1 感官要求:应符合表1的规定。

1 感官要求

项目

要求

检验方法

色泽和组织状态

白色结晶、颗粒或结晶性粉末

取适量实验室样品,置于清洁、干燥的白瓷盘中,在自然光线下,目视观察,嗅其气味。

气味

无臭或带轻微丙酸味

4.2 理化指标:应符合表2的规定。


点击下方链接下载标准全文:

下载地址:《GB 25548-2010 食品安全国家标准 食品添加剂 丙酸钙 

电话: 076982652668
广东华科检测技术服务有限公司 版权所有