首页 返回 新闻科普

GB 28402-2012 食品安全国家标准 食品添加剂 普鲁兰多糖

信息详细

GB 28402-2012 食品安全国家标准 食品添加剂 普鲁兰多糖

1 范围

本标准适用于由出芽短梗霉(Aureobasidiumpullulans)对碳水化合物进行纯种培养发酵后,经加工制成的食品添加剂普鲁兰多糖。

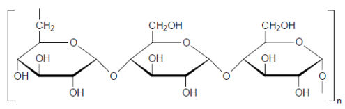
2 分子式和结构式

2.1 分子式

(C6H10O5n

2.2 结构式

       


3 技术要求

3.1 感官要求:应符合表1的规定。

1 感官要求

项目

要求

检验方法

色泽

近白色

取适量样品置于清洁、干燥的玻璃容器中,在自然光线下观察其色泽和状态

状态

粉末

3.2 理化指标:应符合表2的规定。 光线下,观察其色泽和状态。

 

点击下方链接下载标准全文:

下载地址:《GB 28402-2012 食品安全国家标准 食品添加剂 普鲁兰多糖

电话: 076982652668
广东华科检测技术服务有限公司 版权所有