首页 返回 新闻科普

GB 29945-2013 食品安全国家标准 食品添加剂 槐豆胶(刺槐豆胶)

信息详细

GB 29945-2013 食品安全国家标准 食品添加剂 槐豆胶(刺槐豆胶)

范围
      
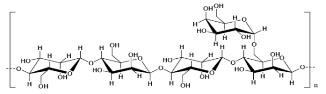
本标准适用于以刺槐豆种子Ceratonia siliqua(L.) Taub.(Fam. Leguminosae)的胚乳或胚乳粉为原料,经加工制得的食品添加剂槐豆胶(刺槐豆胶)。商品化的槐豆胶(刺槐豆胶)可含有用于标准化目的的糊精和糖类。

结构式

       

技术要求

3.1 感官要求

      感官要求应符合表1的规定。

感官要求

项目

要求

检验方法

色泽

白色至微黄色

取适量试样置于白瓷盘内,在自然光线下观察其色泽和状态

状态

粉末

3.2 理化指标

      理化指标应符合表2的规定。


更多标准内容点击以下链接获取标准全文:

下载地址:《GB 29945-2013 食品安全国家标准 食品添加剂 槐豆胶(刺槐豆胶)

电话: 076982652668
广东华科检测技术服务有限公司 版权所有