首页 返回 新闻科普

HG/T 4329-2012 水处理剂 乙二胺四亚甲基膦酸五钠

信息详细

HG/T 4329-2012 水处理剂 乙二胺四亚甲基膦酸五钠

      警告:本标准使用的强酸具有腐蚀性,使用时应避免吸入或接触皮肤。溅到身上应立即用大量水冲洗,严重时应立即就医。

1 范围

本标准规定了水处理剂乙二胺四亚甲基膦酸五钠(EDTMP▪Na5)产品的要求、试验方法、检验规则、标志、包装、运输和贮存。

      本标准适用于水处理剂乙二胺四亚甲基膦酸五钠。该产品主要用作循环水和锅炉水的缓蚀阻垢剂、无氰电镀的络合剂、印染工业软水剂、电厂冷却水处理剂等。

2 规范性引用文件

      下列文件对于本文件的应用是必不可少的。凡是注日期的引用文件,仅所注日期的版本适用于本文件。凡是不注日期的引用文件,其最新版本(包括所有的修改单)适用于本文件。

      GB/T 191-2008 包装储运图示标志(mod ISO 780,1997)

      GB/T 601 化学试剂 标准滴定溶液的制备

      GB/T 602-2002 化学试剂 杂质测定用标准溶液的制备(neq ISO 6353-1, 1982)

      GB/T 603-2002 化学试剂 试验方法中所用制剂及制品的制备(neq ISO 6353-1 : 1982)

      GB/T 6678 化工产品采样 总则

      GB/T 6682-2008 分析实验室用水规格和试验方法(mod ISO 3696,1987)

      GB/T 8170 数值修约规则与极限数值的表示和判定

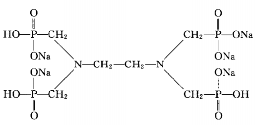
3 分子式及结构式

      分子式

      C6H15O12N2P4Na5

      结构式

       

      相对分子质量:546.03(按2010年国际相对原子质量)

4 技术要求

4.1 外观:琥珀色透明液体。

4.2 水处理剂乙二胺四亚甲基膦酸五钠按相应的试验方法测定应符合表1要求。

 

更多标准内容点击以下链接获取标准全文:

下载地址:《HG/T 4329-2012 水处理剂 乙二胺四亚甲基膦酸五钠 

电话: 076982652668
广东华科检测技术服务有限公司 版权所有