首页 返回 新闻科普

HG/T 4330-2012 水处理剂 二亚乙基三胺五亚甲基膦酸钠盐

信息详细

HG/T 4330-2012 水处理剂 二亚乙基三胺五亚甲基膦酸钠盐

警告:本标准使用的强酸、强碱具有腐蚀性,使用时应避免吸入或接触皮肤。溅到身上应立即用大量水冲洗,严重时应立即就医。

1 范围

本标准规定了水处理剂二亚乙基三胺五亚甲基酸钠盐产品的技术要求、试验方法、检验规则、标志、包装、运输、贮存和安全要求。

本标准适用于水处理剂二亚乙基三胺五亚甲基酸钠盐。该产品主要用作工业水处理中的阻垢缓蚀剂,也可用于过氧化物稳定剂、贵重金属萃取剂及电镀行业金属离子均布剂等。

规范性引用文件

      下列文件对于本文件的应用是必不可少的。凡是注日期的引用文件,仅所注日期的版本适用于本文件。凡是不注日期的引用文件,其最新版本(包括所有的修改单)适用于本文件。

      GB 190 危险货物包装标志

      GB/T 191-2008 包装储运图示标志(mod ISO 780,1997)

      GB/T 601 化学试剂 标准滴定溶液的制备

      GB/T 602-2002 化学试剂 杂质测定用标准溶液的制备(neq ISO 6353-1 : 1982)

      GB/T 6678 化工产品采样 总则

      GB/T 6682-2008 分析实验室用水规格和试验方法(mod ISO 3696,1987)

      GB/T 8170 数值修约规则与极限数值的表示和判定

分子式及结构式

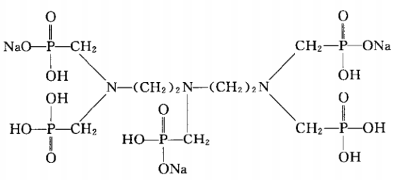
3.1 二亚乙基三胺五亚甲基酸三钠

      分子式:C9H25O15N3P5Na3

      结构式:

       

      相对分子质量:639.14

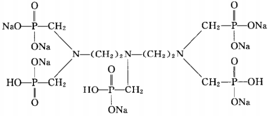
3.2 二亚乙基三胺五亚甲基酸七钠

      分子式:C9H21O15N3P5Na7

      结构式:

       

更多标准内容点击以下链接获取标准全文:

下载地址:《HG/T 4330-2012 水处理剂 二亚乙基三胺五亚甲基膦酸钠盐

电话: 076982652668
广东华科检测技术服务有限公司 版权所有