首页 返回 新闻科普

GB 1886.240-2016 食品安全国家标准 食品添加剂 甘草酸一钾

信息详细

GB 1886.240-2016食品安全国家标准 食品添加剂 甘草酸一钾

1 范围

      本标准适用于以甘草(Radix glycyrrhizae)为原料,经提取精制而得的食品添加剂甘草酸一钾。

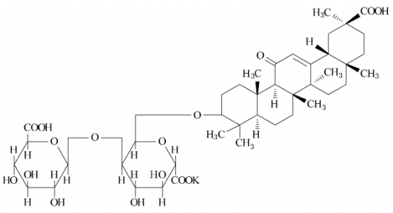
2 分子式、结构式和相对分子质量

2.1 分子式

      C42H61O16K

2.2 结构式

       

2.3 相对分子质量

      861.02(按2007年国际相对原子质量)

3 技术要求

3.1 感官要求

      感官要求应符合表1的规定。


更多标准内容点击以下链接获取标准全文:

下载地址:《GB 1886.240-2016 食品安全国家标准 食品添加剂 甘草酸一钾

电话: 076982652668
广东华科检测技术服务有限公司 版权所有