首页 返回 新闻科普

GB 1886.241-2016 食品安全国家标准 食品添加剂 甘草酸三钾

信息详细

GB 1886.241-2016 食品安全国家标准 食品添加剂 甘草酸三钾

范围

本标准以豆科植物甘草(Glycyrrhiza uralensis Fisch.)、胀果甘草(Glycyrrhiza inflate Bat.)及光果甘草(Glycyrrhiza glabra L.)的干燥根及根茎为原料,经过提取、浓缩、钾碱化和干燥等工艺而制得的食品添加剂甘草酸三钾。

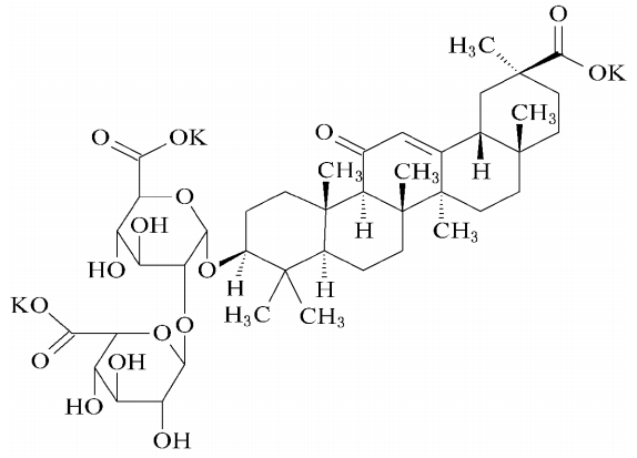
化学名称、结构式、分子式和相对分子质量 

2.1 化学名称

      20β-羧-11-氧代正齐墩果烷-12--3 β-2-O-β-D-葡萄喃糖醛酸基-α-D-葡萄喃糖醛酸三钾

2.2 结构式

 

2.3 分子式

      C42H59K3O16

2.4 相对分子质量

      937.20(按2007年国际相对原子质量)

更多标准内容点击以下链接获取标准全文:

下载地址:《GB 1886.241-2016 食品安全国家标准 食品添加剂 甘草酸三钾 


电话: 076982652668
广东华科检测技术服务有限公司 版权所有