首页 返回 新闻科普

GB 28313-2012 食品安全国家标准 食品添加剂 葡萄皮红

信息详细

GB 28313-2012 食品安全国家标准 食品添加剂 葡萄皮红

1 范围

本标准适用于以葡萄皮或葡萄榨汁后的皮渣为主要原料,经水或食用乙醇提取、精制而成的食品添加剂葡萄皮红。其主要着色成分为花色苷。葡萄皮红产品可含有糊精等辅料。

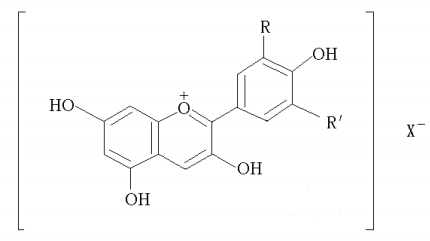
2 分子式、结构式

2.1 分子式

      芍药花花青素:C16H13O6X

      锦葵色素:C17H15O7X

飞燕草花青素:C15H11O7X

牵牛花花青素:C16H13O7X

X-:酸基团

2.2 结构式

             

      芍药花花青素:R=OCH3;

      锦葵色素:R, R'=OCH3

      飞燕草花青素:R,R'=OH

      牵牛花花青素:R=OCH3;

3 技术要求

3.1 感官要求:应符合表1的规定。


点击下方链接下载标准全文:

下载地址:GB 28313-2012 食品安全国家标准 食品添加剂 葡萄皮红 

电话: 076982652668
广东华科检测技术服务有限公司 版权所有