GB/T 15516-1995空气质量 甲醛的测定 乙酰丙酮分光光度法
1 主题内容及适用范围1.1 主题内容
本标准规定了测定工业废气和环境空气中甲醛的乙酸丙酮分光光度法。
1.2 适用范围
1.2.1 本方法适用于树脂制造、涂料、人造纤维、塑料、橡胶、染料、制药、油漆、制革等行业的排放废气,以及作医药消毒、防腐、熏蒸时产生的甲醛蒸气测定。
1.2.2 在采样体积为0.5~10.0 L时,测定范围为0.5~800 mg/m3。
1.2.3当甲醛浓度为20 μg/10 mL时,共存8 mg苯酚(400倍),10 mg乙醛(500倍),600 mg铵离子(30000倍)无干扰影响;共存SO2,小于20 μg,NOx小于50 μg,甲醛回收率不低于95%。
2 原理
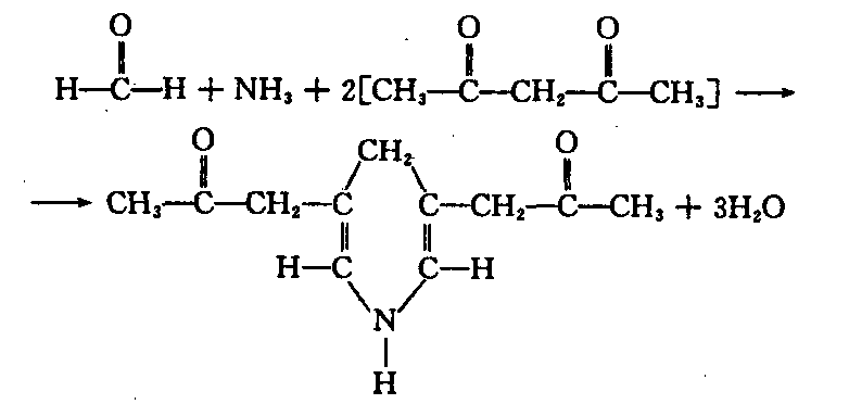
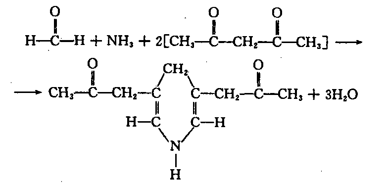
甲醛气体经水吸收后,在pH=6的乙酸-乙酸铵缓冲溶液中,与乙酰丙酮作用,在沸水浴条件下,迅速生成稳定的黄色化合物,在波长413 nm处测定,反应式如下:

3 试剂
除非另有说明,分析时均使用符合国家标准的分析纯试剂和按3.1条制备的水。
3.1 不含有机物的蒸馏水。
加少量高锰酸钾的碱性溶液于水中再行蒸馏即得(在整个蒸馏过程中水应始终保持红色,否则应随时补加高锰酸钾)。
3.2 吸收液:不含有机物的重蒸馏水(3.1)。
3.3 乙酸铵(NH4CH3COO)。
3.4 冰乙酸(CH3COOH) :ρ=1.055。
3.5 乙酰丙酮(C5H8O2):ρ=0.975。
3.5.1 乙酰丙酮溶液:0.25%(V/V),称25g乙酸铵(3.3),加少量水溶解,加3ml冰乙酸(3.4)及0.25 ml新蒸馏的乙酰丙酮(3.5),混匀再加水至100 ml,调整pH=6.0,此溶液于2~5℃贮存,可稳定一个月。
3.6 盐酸(HCl)溶液:ρ=1.19 (1+5)。
3.7 氢氧化钠(NaOH)溶液:30 g/100mI。
3.8 碘(I2)。
3.8.1 碘(I2)溶液:c(I2)=0.1 mol/L,称40g碘化钾(3.9)溶于10 ml水,加入12.7g碘(3. 8),溶解后移入1000 ml容量瓶,用水稀释定容。
3.9 碘化钾(KI)。
3.9.1 碘化钾(KI)溶液:10 g/100mI。
3.10 碘酸钾(KIO3)溶液c(1/6KIO3) =0.1000 mol/L,称3.1567 g经110℃干燥2 h的碘酸钾(优级纯)溶于水,于1000 ml容量瓶稀释定容。
3.11 淀粉溶液:1 g/100 mI,称1g淀粉,用少量水调成糊状,倒入:100 ml沸水中,呈透明溶液,临用时配制。
如需查看标准全部内容请免费下载标准,点击下方链接。
下载地址:《GB/T 15516-1995 空气质量 甲醛的测定 乙酰丙酮分光光度法》