首页 返回 新闻科普

GB/T 29667-2013 化妆品用防腐剂 咪唑烷基脲

信息详细

GB/T 29667-2013 化妆品用防腐剂 咪唑烷基脲

1 范围

      本标准规定了化妆品用防腐剂咪唑烷基脲的要求、试验方法、检验规则及包装、标志、运输和贮存、保质期。

      本标准适用于咪唑烷基脲。咪唑烷基脲以甲醛和尿囊素为原料,在碱性条件下反应生成,应用为化妆品的防腐剂。

2 规范性引用文件

下列文件对于本文件的应用是必不可少的。凡是注日期的引用文件,仅注日期的版本适用于本文件。凡是不注日期的引用文件,其最新版本(包括所有的修改单)适用于本文件。

       GB/T 6679-2003 固体化工产品采样通则

      GB/T 9741 化学试剂 灼烧残渣测定通用方法

      GB/T 13531.1 化妆品通用检验方法 pH值的测定

      化妆品卫生规范(2007年版)

      中华人民共和国药典(2010年版)二部

      药品红外光谱集第四卷(2010)

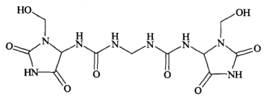
3 化学名称、结构式、分子式、相对分子质量CAS号

      化学名称:N,N-亚甲基一双[N-3-羟甲基-2,5-二酮-4-咪唑烷基)]脲

      结构式:


      


      分子式:C11H16N8O8

      相对分子质量:388.297(按2009年国际原子量)
      CAS号:39236-46-9

4 要求

4.1 性状

      本品为白色流动性粉末,略带特征性气味。

更多标准内容点击以下链接获取标准全文:

下载地址:《GB/T 29667-2013 化妆品用防腐剂 咪唑烷基脲

电话: 076982652668
广东华科检测技术服务有限公司 版权所有