首页 返回 新闻科普

QB/T 4953-2016 化妆品用原料 熊果苷(β-熊果苷)

信息详细

QB/T 4953-2016 化妆品用原料 熊果苷(β-熊果苷)

1 范围

本标准规定了化妆品用原料β-熊果苷的要求、试验方法、检验规则、标志、包装、运输、贮存和保质期。

本标准适用于由β-五乙酰葡萄糖与对苯二酚反应,再经酯交换反应合成的,应用于化妆品美白剂的β-熊果苷。

2 规范性引用文件

下列文件对于本文件的应用是必不可少的。凡是注日期的引用文件,仅注日期的版本适用于本文件。凡是不注日期的引用文件,其最新版本(包括所有的修改单)适用于本文件。

      GB/T 191 包装储运图示标志

      GB/T 601 化学试剂 标准滴定溶液的制备

      GB/T 602 化学试剂 杂质测定用标准溶液的制备

GB/T 603 化学试剂 试验方法中所用制剂及制品的制备

GB/T 613 化学试剂 比旋光本领(比旋光度)测定通用方法

GB/T 6678 化工产品采样总则

      GB/T 6679 固体化工产品采样通则

      GB/T 6682 分析实验室用水规格和试验方法

GB/T 8170 数值修约规则与极限数值的表示和判定

GB/T 13531.1 化妆品通用检验方法pH值的测定

《化妆品卫生规范》

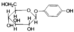
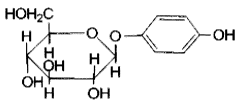
3 产品化学名称、INCI名称、分子式、CAS号、相对分子质量、结构式、推荐用量

化学名称:对-羟基苯-β-D-吡喃葡糖苷

INCI名称:Arbutin

      分子式:C12H16O7

      CAS号:497-76-7

相对分子质量:272.26(按2009年国际相对原子质量)

结构式:

       

推荐用量:β-熊果苷美白推荐用量为1%~7%。

4 要求

      β-熊果苷理化指标和卫生指标应符合表1要求。


更多标准内容点击以下链接获取标准全文:

下载地址:《QB/T 4953-2016 化妆品用原料 熊果苷(β-熊果苷) 

电话: 076982652668
广东华科检测技术服务有限公司 版权所有