首页 返回 新闻科普

GB 1886.25-2016 食品安全国家标准 食品添加剂 柠檬酸钠

信息详细

GB 1886.25-2016 食品安全国家标准 食品添加剂 柠檬酸钠

范围

      本标准适用于以淀粉质或糖质原料,经发酵提纯制得的食品添加剂柠檬酸钠。

化学名称、分子式、结构式和相对分子量

2.1 化学名称

      2-羟基丙烷-1,2,3-酸钠

2.2 分子式

      C6H5Na3O7▪2H2O

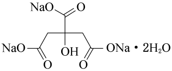
2.3 结构式

       

2.4 相对分子质量

      294.10(按2007年国际相对原子质量)

技术要求

3.1 感官要求

      感官要求应符合表1的规定。

感官要求

项目

要求

检验方法

色泽

白色或无色

取适量试样置于清洁、干燥的白瓷盘中,在自然光线下观察其色泽和状态

状态

结晶状颗粒或粉末

气味、滋味

无臭,味咸

在湿空气中微有潮解性,在热空气中略有风化。


3.2 
理化指标

      理化指标应符合表2的规定。


更多标准内容点击以下链接获取标准全文:

下载地址:《GB 1886.25-2016 食品安全国家标准 食品添加剂 柠檬酸钠

电话: 076982652668
广东华科检测技术服务有限公司 版权所有