首页 返回 新闻科普

GB 1886.41-2015 食品安全国家标准 食品添加剂 黄原胶

信息详细

GB 1886.41-2015 食品安全国家标准 食品添加剂 黄原胶

1 范围

      本标准适用于以甘兰黑腐病黄单胞菌(Xanthomonas cam pestris)为产生菌,以淀粉质为主要原料,经特定的生物发酵并经提纯、干燥、粉碎而成的食品添加剂黄原胶。

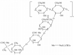
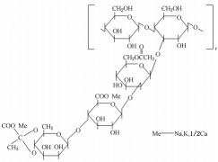
2 结构式

       

3 技术要求

3.1 感官要求

     感官要求应符合表1的规定。

表1 感官要求

项目

要求

检验方法

色泽

类白色或浅米黄色

取适量试样置于清洁、干燥的白瓷盘中,在自然光线下观察色泽和状态

状态

颗粒或粉末

3.2 理化指标

      理化指标应符合表2的规定。


更多标准内容点击以下链接获取标准全文:

下载地址:《GB 1886.41-2015 食品安全国家标准 食品添加剂 黄原胶》 

电话: 076982652668
广东华科检测技术服务有限公司 版权所有