首页 返回 新闻科普

GB 1886.61-2015 食品安全国家标准 食品添加剂 红花黄

信息详细

GB 1886.61-2015 食品安全国家标准 食品添加剂 红花黄

范围

本标准适用于以菊科植物红花(Carthamus tinctorius L.)的花瓣为原料,经水提取、精制而成的食品添加剂红花黄。

分子式、结构式和相对分子质量

2.1 分子式

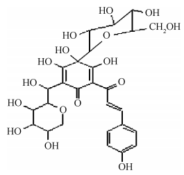
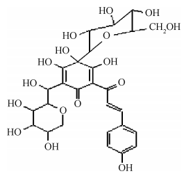
红花黄素A: C27H32O16

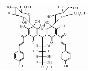
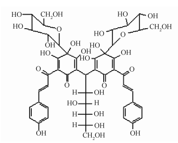
红花黄素B: C48H54O27

2.2 结构式

2.2.1 红花黄素A结构式

2.2.2 红花黄素B结构式

2.3 相对分子质量

      红花黄素A:612.5(2011年国际相对原子质量)

      红花黄素B:1062(2011年国际相对原子质量)

 

更多标准内容点击以下链接获取标准全文:

下载地址:《GB 1886.61-2015 食品安全国家标准 食品添加剂 红花黄

电话: 076982652668
广东华科检测技术服务有限公司 版权所有