首页 返回 新闻科普

GB 1886.82-2015 食品安全国家标准 食品营养强化剂 5‘-尿苷酸二钠

信息详细

GB 1886.82-2015 食品安全国家标准 食品营养强化剂 5-尿苷酸二钠

范围

      本标准适用于食品营养强化剂5‘-尿酸二钠。

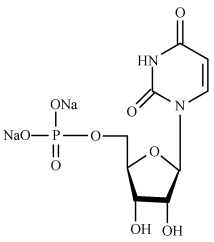
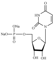
分子式、结构式和相对分子质量

2.1 分子式

C9H11N2Na209P

2.2 结构式

      


2.3 
相对分子质量

      368.14(按2007年国际相对原子质量)

技术要求

3.1感官要求

      感官要求应符合表1的规定。

感官要求

项目

要求

检验方法

色泽

无色至白色

取适量试样置于清洁、干燥的白瓷盘中,在自然光线下观察其色泽和状态,嗅其气味

气味

具有特异性气味

状态

结晶或结晶粉末


更多标准内容点击以下链接获取标准全文:

下载地址:《GB 1886.82-2015 食品安全国家标准 食品营养强化剂 5‘-尿苷酸二钠

电话: 076982652668
广东华科检测技术服务有限公司 版权所有