首页 返回 新闻科普

GB 1886.182-2016 食品安全国家标准 食品添加剂 异麦芽酮糖

信息详细

GB 1886.182-2016 食品安全国家标准 食品添加剂 异麦芽酮糖

范围

本标准适用于以白砂糖为原料,经蔗糖异构酶转化,再经浓缩、结晶、分离而成的食品添加剂异麦芽酮糖。

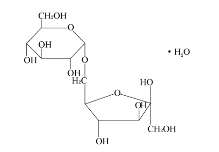
化学名称、分子式、结构式、相对分子质量

2.1 化学名称

6-O-a-D-吡喃葡萄糖基-D-呋喃果糖
2.2 
分子式

      C12H22O11▪H2O

2.3 结构式

      

2.4 相对分子质量

      360.3(按2007年国际相对原子质量)

技术要求

3.1 感官要求

      感官要求应符合表1的规定。


更多标准内容点击以下链接获取标准全文:

下载地址:《GB 1886.182-2016 食品安全国家标准 食品添加剂 异麦芽酮糖

电话: 076982652668
广东华科检测技术服务有限公司 版权所有