首页 返回 新闻科普

GB 1886.186-2016 食品安全国家标准 食品添加剂 山梨酸

信息详细

GB 1886.186-2016 食品安全国家标准 食品添加剂 山梨酸

范围

      本标准适用于以丁烯醛和乙酸为原料反应制得的食品添加剂山梨酸。

化学名称、分子式、结构式和相对分子质量

2.1 化学名称

(E ,E)-2 ,4-己二烯酸
2.2 
分子式

      C6H8O2

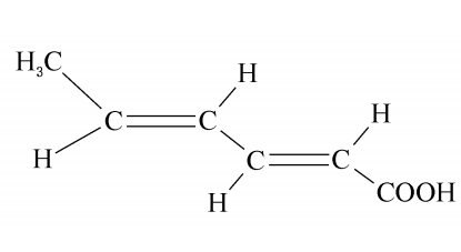
2.3 结构式

       

2.4 相对分子质量

      112.13(按2011年国际相对原子质量)

技术要求

3.1 感官要求

      感官要求应符合表1的规定。

感官要求

项目

要求

检验方法

色泽

白色或类白色

取适量样品置于清洁、干燥的白瓷盘中,在自然光线下观察色泽和状态

状态

粉末或颗粒

3.2 理化指标

      理化指标应符合表2的规定。

更多标准内容点击以下链接获取标准全文:

下载地址:《GB 1886.186-2016 食品安全国家标准 食品添加剂 山梨酸

电话: 076982652668
广东华科检测技术服务有限公司 版权所有