首页 返回 新闻科普

GB 1886.233-2016 食品安全国家标准 食品添加剂 维生素E

信息详细

GB 1886.233-2016食品安全国家标准 食品添加剂 维生素E

1 范围
      本标准适用于从天然食用植物油的副产物中提取的天然维生素E或人工合成的维生素E,以食用植物油调制而成的制品。
      本标准适用的维生素E中包括以下生育酚种类:d-a-生育酚、dl-a-生育酚、d-a-醋酸生育酚、dl-a-醋酸生育酚、d-a-琥珀酸生育酚、dl-a-琥珀酸生育酚、d-a-醋酸生育酚浓缩物、混合生育酚浓缩物。
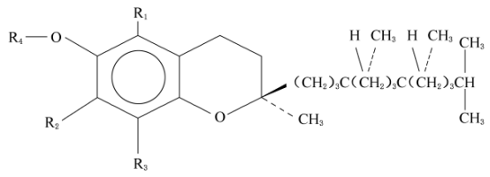
2 化学名称、分子式、结构式和相对分子质量
2.1 化学名称

      d-a-生育酚:(+)2,5,7,8-四甲基-2-(4,8,12-三甲基十三烷基)-6-苯并二氢吡喃醇;dl-a-生育酚:(±)2,5,7,8-四甲基-2-(4,8,12-三甲基十三烷基)-6-色原醇;

      d-a-醋酸生育酚:(+)2,5,7,8-四甲基-2-(4,8,12-三甲基十三烷基)色满醇-6-乙酸酯;

      dl-a-醋酸生育酚:(±)2,5,7,8-四甲基-2-(4,8,12-三甲基十三烷基)-6-苯并二氢吡喃醇醋酸酯;

      d-a-琥珀酸生育酚:(+)2,5,7,8-四甲基-2-(4,8,12-三甲基十三烷基)色满醇-6-琥珀酸酯;

      dl-a-琥珀酸生育酚:(±)2,5,7,8-四甲基-2-(4,8,12一三甲基十三烷基)色满醇-6-琥珀酸酯。

2.2 分子式

      d-a-生育酚: C29H50O2

      dl-a-生育酚: C29H50O2

      d-a-醋酸生育酚: C31H52O

      dl-a-醋酸生育酚: C31H52O3

      d-a-琥珀酸生育酚: C33H54O

      dl-a-琥珀酸生育酚: C33H54O5

2.3 结构式

       

      d-a-生育酚、dl-a-生育酚、d-a-醋酸生育酚、dl-a-醋酸生育酚、d-a-琥珀酸生育酚、dl-a-琥珀酸生育酚、d-a-醋酸生育酚浓缩物、混合生育酚浓缩物的结构式中对应R1基团、R2基团、R3基团、R4基团如表1所示。


更多标准内容点击以下链接获取标准全文:

下载地址:《GB 1886.233-2016 食品安全国家标准 食品添加剂 维生素E》 

电话: 076982652668
广东华科检测技术服务有限公司 版权所有