首页 返回 新闻科普

GB 1886.242-2016 食品安全国家标准 食品添加剂 甘草酸铵

信息详细

GB 1886.242-2016 食品安全国家标准 食品添加剂 甘草酸铵

范围

本标准适用于原料为甘草(豆科植物甘草Glycyrrhiza uralensis Fisch.、胀果甘草Glycyrrhiza in- flata Bat.及光果甘草Glycyrrhiza glabra L.),经水浸提、硫酸(或盐酸)酸化沉淀、乙醇浸提、氨化、结晶等工艺制得的食品添加剂甘草酸

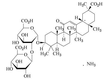
化学名称、结构式、分子式、相对分子质量

2.1 化学名称

      甘草酸

2.2 结构式

       

2.3 分子式

      C42H61O16NH4

2.4 相对分子质量

      839.96铵2007年国际相对原子质量)

技术要求

3.1 感官要求

      感官要求应符合表1的规定。

 

更多标准内容点击以下链接获取标准全文:

下载地址:《GB 1886.242-2016 食品安全国家标准 食品添加剂 甘草酸铵

电话: 076982652668
广东华科检测技术服务有限公司 版权所有