首页 返回 新闻科普

GB 14752-2010 食品安全国家标准 食品添加剂 维生素B2(核黄素)

信息详细

GB 14752-2010 食品安全国家标准 食品添加剂 维生素B2(核黄素)

1 范围

本标准适用于经化学合成法及生物发酵法制得的食品添加剂维生素B2(核黄素)。

2 规范性引用文件

本标准中引用的文件对于本标准的应用是必不可少的。凡是注日期的引用文件,仅所注日期的版本适用于本标准。凡是不注日期的引用文件,其最新版本(包括所有的修改单)适用于本标准。

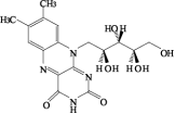
3 化学名称、分子式、结构式和相对分子质量

3.1 化学名称

7,8-二甲基-10-[ (2S,3S,4R)-2,3,4,5-四羟基戊基]-3,10-二氢苯并蝶啶-2,4-二酮

3.2 分子式

      C17H20N4O6

3.3 结构式

       

3.4 相对分子质量

      376.36(按2007年国际相对原子质量)

4 技术要求

4.1 感官要求:符合表1的规定。

1 感官要求

项目

要求

检验方法

色泽

橙黄色

取适量样品置于清洁、干燥的白瓷盘中,在自然光线下,观察其色泽和组织状态,嗅其气味。

气味

微臭

组织状态

结晶性粉末

性状

约在280℃时熔融,同时分解。溶液易变质。在碱性溶液中或遇光变质更快

4.2 理化指标:应符合表2的规定。


点击下方链接下载标准全文:

下载地址:《GB 14752-2010 食品安全国家标准 食品添加剂 维生素B2(核黄素)

电话: 076982652668
广东华科检测技术服务有限公司 版权所有