首页 返回 新闻科普

GB 28315-2012 食品安全国家标准 食品添加剂 紫草红

信息详细

GB 28315-2012 食品安全国家标准 食品添加剂 紫草红

范围

本标准适用于以紫草科植物紫草(Lithospermum euchromom; Lithospermum erythrohizn; Macrotomia euchroma)的根为原料,经萃取、精制而成的食品添加剂紫草红。

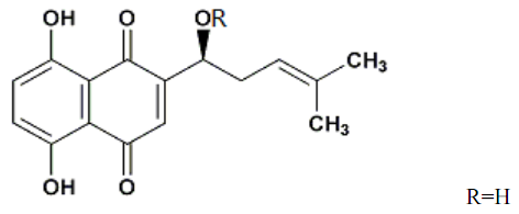
主成分的分子式、结构式和相对分子质量

2. 1 分子式

      紫草宁:C16H1605

2.2 结构式

             

2.3 相对分子质量

      紫草宁:288.295(按2007年国际相对原子质量)

技术要求

3.1 感官要求:应符合表1的规定。

感官要求

项目

要求

检验方法

色泽

深紫红色

取适量样品置于清洁、干燥的白瓷盘中,在自然光线下,观察其色泽和状态

状态

油状液体

3.2 理化指标:应符合表2的规定。

 

点击下方链接下载标准全文:

下载地址:《GB 28315-2012 食品安全国家标准 食品添加剂 紫草红

电话: 076982652668
广东华科检测技术服务有限公司 版权所有