首页 返回 新闻科普

GB 28334-2012 食品安全国家标准 食品添加剂 顺式-3-己烯醇己酸酯(己酸叶醇酯)

信息详细

GB 28334-2012 食品安全国家标准 食品添加剂 顺式-3-己烯醇己酸酯(己酸叶醇酯)

1 范围

本标准适用于由己酸和顺式-3-己烯醇为原料制得的食品添加剂顺式-3-己烯醇己酸酯(己酸叶醇酯)。

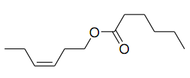
2 化学名称、分子式、结构式和相对分子质量

2.1 化学名称

顺式-3-己烯醇己酸酯 

2.2 分子式

      C12H22O2

2.3 结构式

       

2.4 相对分子质量

198.31(按2007年国际相对原子质量)

3 技术要求

3.1 感官要求:应符合表1的规定。

1 感官要求

项目

要求

检验方法

色泽

无色至苍黄色

将试样置于比色管内,用目测法观察

状态

液体

香气

果香、青香

GB/T 14454.2

3.2 理化指标:应符合表2的规定。

2 理化指标

项目

指标

检验方法

顺式-3-己烯醇己酸含量,w/%≥

96.0

附录A

折光指数(20℃)

1.420~1.440

GB/T 14454.4

相对密度(25/25)

0.870-0.890

GB/T 11540


点击下方链接下载标准全文:

下载地址:《GB 28334-2012 食品安全国家标准 食品添加剂 顺式-3-己烯醇己酸酯(己酸叶醇酯)

电话: 076982652668
广东华科检测技术服务有限公司 版权所有