GB 28338-2012 食品安全国家标准 食品添加剂 乳酸l-薄荷酯
1 范围
本标准适用于由乳酸和1-薄荷脑为原料制得的食品添加剂乳酸1-薄荷酯。
2 化学名称、分子式、结构式和相对分子质量
2.1 化学名称
5-甲基-2-(1-甲基乙基)环己醇α-羟基丙酸酯
2.2 分子式
C13H24O3
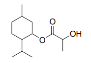
2.3 结构式

2.4 相对分子质量
228.33(按2007年国际相对原子质量)
3 技术要求
3.1 感官要求:应符合表1的规定。
表1 感官要求
|
项目 |
要求 |
检验方法 |
|
色泽 |
白色 |
将试样置于一洁净白纸上,用目测法观察 |
|
状态 |
结晶性固体 |
|
|
香气 |
微弱的春黄菊或烟草香气 |
GB/T 14454.2 |
3.2 理化指标:应符合表2的规定。
表2 理化指标
|
项目 |
指标 |
检验方法 |
|
乳酸l-薄荷酯含量,w/%≥ |
98.0 |
附录A |
|
酸值(以KOH计))/(mg/g)≤ |
2.0 |
GB/T 14455.5 |
|
熔点(℃) |
40.0 |
GB/T 14457.3 |
点击下方链接下载标准全文: