首页 返回 新闻科普

GB 29954-2013 食品安全国家标准 食品添加剂 δ-壬内酯

信息详细

GB 29954-2013 食品安全国家标准 食品添加剂 δ-壬内酯

1 范围

本标准适用于由环戊酮和丁醛为原料制得的食品添加剂δ-壬内酯

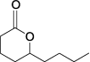
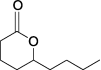
2 化学名称、分子式、结构式和相对分子质量

2.1 化学名称

6-丁基四氢-2-吡喃酮

2.2 分子式

      C9H16O2

2.3 结构式

       

2.4 相对分子质量

      156.22(按2007年国际相对原子质量)

3 技术要求

3.1 感官要求

      感官要求应符合表1的规定。

1 感官要求

项目

要求

检验方法

色泽

无色至苍黄色

将试样置于比色管内,用目测法观察

状态

液体

香气

椰子样香气

GB/T 14454.2

3.2 理化指标

      理化指标应符合表2的规定。

 

更多标准内容点击以下链接获取标准全文:

下载地址:《GB 29954-2013 食品安全国家标准 食品添加剂 δ-壬内酯

电话: 076982652668
广东华科检测技术服务有限公司 版权所有