首页 返回 新闻科普

GB 30604-2015 食品安全国家标准 食品营养强化剂 1,3-二油酸-2-棕榈酸甘油三酯

信息详细

GB 30604-2015 食品安全国家标准 食品营养强化剂 1,3-二油酸-2-棕榈酸甘油三酯

1 范围

本标准适用于以食用植物油与油酸(来源于食用植物油脂)为原料,经食品工业用脂肪酶催化酯交换制得的食品营养强化剂1,3-二油酸-2-棕桐酸甘油三酯1,3-二油酸-2-棕桐酸甘油三酯可含有用于保存目的的抗氧化剂。

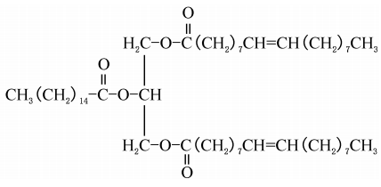
2 化学名称、分子式、结构式和相对分子质量

2.1 化学名称
      
1,3-二油酸-2-棕桐酸甘油三酯

2.2 分子式

    C55H102O6

2.3 结构式

       

2.4 相对分子质量
      
859.39(按2007年国际相对原子质量)

3 技术要求

3.1 感官要求

      感官要求应符合表1的规定。


更多标准内容点击以下链接获取标准全文:

下载地址:《GB 30604-2015 食品安全国家标准 食品营养强化剂 1,3-二油酸-2-棕榈酸甘油三酯

电话: 076982652668
广东华科检测技术服务有限公司 版权所有