首页 返回 新闻科普

QB/T 4261-2011 食品添加剂 5′-肌苷酸二钠

信息详细

QB/T 4261-2011 食品添加剂 5′-肌苷酸二钠

1 范围

本标准规定了食品添加剂5′-肌苷酸二钠产品的技术要求、分析方法、检验规则和标志、包装、运输、贮存。

本标准适用于以淀粉、糖质为原料,经发酵法或酶解法制得的食品添加剂5′-肌苷酸二钠的生产、检验与销售。

2 规范性引用文件

下列文件对于本文件的应用是必不可少的。凡是注日期的引用文件,仅注日期的版本适用于本文件。凡是不注日期的引用文件,其最新版本(包括所有的修改单)适用于本文件。

      GB/T 603 化学试剂 实验方法中所用制剂及制品的制备

      GB 5009.11-2003 食品中总砷及无机砷的测定

      GB/T 6682 分析实验室用水规格和试验方法

      卫生部[2002]26号令 食品添加剂卫生管理办法 
      
中华人民共和国药典第二部2005年版

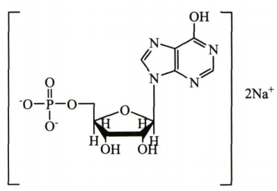
3 化学名称、结构式、分子式、相对分子质量

3.1 化学名称:
      5′-肌苷酸二钠
Disodium5′-Inosinate)

3.2 结构式:

       

3.3 分子式:
      C
10H11N4Na2O8P▪xH2O

3.4 相对分子质量(以无水计):
      392.17

4 要求

4.1 感官指标

      产品为白色结晶或结晶性粉末;具有特殊鲜味,易溶于水,微溶于乙醇,难溶于乙醚。

4.2 理化指标

      应符合表1的规定。

更多标准内容点击以下链接获取标准全文:

下载地址:《QB/T 4261-2011 食品添加剂 5′-肌苷酸二钠

电话: 076982652668
广东华科检测技术服务有限公司 版权所有