HJ/T 35-1999 固定污染源排气中乙醛的测定 气相色谱法
1 适用范围
1.1 本标准适用于固定污染源有组织排放和无组织排放的乙醛测定。
1.2 当采样体积为100L,进样体积为1μL时,乙醛的检出限为4×10-2mg/m3,乙醛的定量测定浓度范围为0.14mg/m3-30mg/m3。
2 方法原理
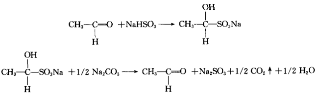
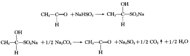
用亚硫酸氢钠溶液采样,乙醛与亚硫酸氢钠发生亲核加成反应,在中性溶液中生成稳定的a-羟基磺酸盐,然后在稀碱溶液中共热释放出乙醛,经色谱柱分离,用氢火焰离子化检测器测定,以标准样品色谱峰的保留时间定性,峰高定量。

3 引用标准
下列标准所包含的条文,通过在本标准中引用而构成为本标准的条文。
GB 16297-1996 大气污染物综合排放标准
GB 161157-1996 固定污染源排气中颗粒物测定和气态污染物采样方法
4 试剂和材料
除非另有说明,分析时均使用符合国家标准的分析纯试剂和不含有机物的蒸馏水。
不含有机物蒸馏水的制备:加入少量高锰酸钾的碱性溶液于普通的蒸馏水或去离子水中使呈红紫色,再进行蒸馏即得(在整个蒸馏过程中水应始终保持红紫色,否则应随时补加高锰酸钾)。
4.1 丙酮(CH3COCH3)。
4.2 三聚乙醛(CH3CHO)3。
4.3 浓盐酸(HCI):ρ=1.19g/ml。
4.4 浓硫酸(H2SO4),ρ=1.84g/ml。
更多标准内容点击以下链接获取标准全文: