首页 返回 新闻科普

HJ/T 28-1999 固定污染源排气中氰化氢的测定 异烟酸-吡唑啉酮分光光度法

信息详细

HJ/T 28-1999 固定污染源排气中氰化氢的测定 异烟酸-吡唑啉酮分光光度法

1 适用范围

1.1 本标准适用于固定污染源有组织排放和无组织排放的氰化氢测定。

1.2 在氰化氢无组织排放的空气样品分析中,当采样体积为30 L时,方法的检出限为2X10-3 mg/m3, 定量测定的浓度范围为0.0050~0.17mg/m3。在有组织排气样品分析中,当采样体积为5L时,方法的检出限为0.09mg/m3,定量测定浓度范围为0.29~8.8mg/m3

1.3 硫化氢和氧化剂(如Cl2)存在对测定有干扰。

2 方法原理

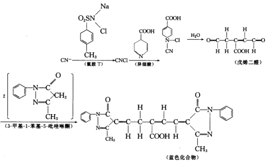
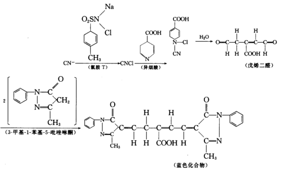
      用氢氧化钠溶液吸收氰化氢(HCN),在中性条件下,与氯胺T作用生成氯化氰(CNCl),氯化氰与异烟酸反应,经水解生成戊烯二醛,再与吡唑啉酮进行缩聚反应,生成蓝色化合物,用分光光度法测定。反应方程式如下:

       

3 引用标准

      下列标准所包含的条文,通过在本标准中的引用而构成为本标准的条文:

      GB 16297-1996 大气污染物综合排放标准

      GB 16157-1996 固定污染源排气中颗粒物测定和气态污染物采样方法。

 

更多标准内容点击以下链接获取标准全文:

下载地址:《HJ/T 28-1999 固定污染源排气中氰化氢的测定 异烟酸-吡唑啉酮分光光度法

电话: 076982652668
广东华科检测技术服务有限公司 版权所有