首页 返回 新闻科普

近岸海域环境监测技术规范 第二部分 数据处理(征求意见稿)

信息详细

近岸海域环境监测技术规范 第二部分 数据处理(征求意见稿)

1 适用范围

      本标准规定了近岸海域环境监测数据的处理、审核与提交。

本标准适用于近岸海域生态环境质量(水质、沉积物、生物、生物质量)、入海河流入海断面、直排海污染源及影响、突发性应急事故监测和专题监测等工作。

2 规范性引用文件

      本标准内容引用了下列文件中的条款。凡未注明日期的引用文件,其有效版本适用于本标准。

      GB/T 4883 数据的统计处理和解析正态样本异常值的判断和处理

      GB/T 8170 数值修约规则与极限数值的表示和判定

      HJ 168 环境监测 分析方法标准制修订技术导则

      HJ 442.6 近岸海域环境监测技术规范 第六部分 近岸海域生物监测

3 术语和定义

      下列术语和定义适用于本标准。

3.1

监测数据完整性 monitor data integrity

       指监测数据获得过程中的全部信息。包括采样、保存、分析过程的全部信息。

4 监测数据信息与数据处理

4.1 原始记录

原始记录应能够正确记载数据量值、有效位数和产生的相关信息,包括采样、运输保存、前处理、分析方法、样品稀释或浓缩倍数、量器和仪器、校准、分析等相关过程的信息。

      原始记录表示测试结果的量纲及其有效位数,应参照分析方法中具体规定填报。若无此规定时,一般一个数据中只准许末尾一个数字是估计(可疑)值。有效数字位数根据所采用的测定方法、使用的仪器设备精度及待测物质含量确定,一般容量法和重量法可有 4 位有效数字,分光光度法、原子吸收法、气相色谱法等通常最多只有 3 位有效数字,当待测物质含量较低时可能只有 1 位有效数字。带有计算机处理的分析仪器,其打印或显示结果的位数较多时,不代表其有效位数的增加。在使用多种计量仪器的一系列操作时,分析结果有效位数由有效位数最少的计量仪器决定。分析结果的有效保留的最小数位不能低于分析方法检出限的最小数位。

      原始记录中,低于检出限的测试结果,用“检出限(数值)”加 L 表示。

4.2 数据的修约

      数值修约执行 GB/T 8170,对异常值的判断和处理执行 GB/T 4883。

进行监测数据修约时,遵守四舍六入五逢双的原则,即拟舍去的数字中左边第一位小于 5 时舍去,大于 5 时进 1,等于 5 时左边第一个数字后不全为 0 时进一位,全部为 0 时拟保留末尾数字为奇数进 1,末尾为偶数舍去。

4.3 监测数据平均值计算

4.3.1 平均值及保留有效位数

  a) 一般污染因子项目的平均值按照算术平均值计算。监测数据产生后,在对数据准确性确认后进行必要的统计;

  b) 未检出按检出限的 1/2 量参加统计计算;

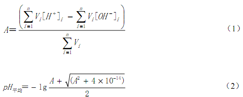
  c) pH 均值一般按算术平均值计算;参加平均的 pH 测定值存在大于 7 和小于 7 的情况下,pH 最大差值大于 2 时,应按照下列公式计算:

     当中和后氢离子过剩时:

 

      当中和后氢氧根离子过剩时:

 

   式中: pH平均为参与统计的所有样品的 pH 值平均值;

   pHi为第 i 个样品的 pH 值;

   n 为样品个数。

d) 海洋微生物等特殊项目(细菌总数、粪大肠菌群等)的均值以几何平均值表示, 其他叶绿素 a、浮游生物、底栖生物及潮间带生物等项目的平均值以算术均值表示,参见 HJ442.6 相关要求;

e) 计算监测结果时,数据修约至与参加计算数据的最少数位一致;

 

更多标准意见稿内容点击以下链接获取标准意见稿全文:

下载地址:《近岸海域环境监测技术规范 第二部分 数据处理(征求意见稿)

电话: 076982652668
广东华科检测技术服务有限公司 版权所有