GB 22337-2008社会环境噪音排放标准
发布时间:2018-5-11 来源:SCT
1 适用范围本标准规定了营业性文化娱乐场所和商业经营活动中可能产生环境噪声污染的设备、设施边界噪声排放限值和测量方法。
本标准适用于对营业性文化娱乐场所、商业经营活动中使用的向环境排放噪声的设备、设施的管理、评价与控制。
2 规范性引用文件
本标准内容引用了下列文件或其中的条款。凡是不注日期的引用文件,其有效版本适用于本标准。
GB 3785 声级计的电、声性能及测试方法
GB/T 3241 倍频程和分数倍频程滤波器
GB/T 15173 声校准器
GB/T 17181 积分平均声级计
3 术语和定义
下列术语和定义适用于本标准。
3.1
社会生活噪声 community noise
指营业性文化娱乐场所和商业经营活动中使用的设备、设施产生的噪声。
3.2
噪声敏感建筑物 noise-sensitive buildings
指医院、学校、机关、科研单位、住宅等需要保持安静的建筑物。
3.3
A声级 A-weighted sound pressure level
用A计权网络测得的声压级,用LA表示,单位dB(A)。
3.4
等效连续A声级 equivalent continuous A-weighted sound pressure level
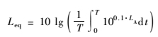
简称为等效声级,指在规定测量时间T内A声级的能量平均值,用瓦eq,:表示(简写为Leq)单位dB(A)。除特别指明外,本标准中噪声限值皆为等效声级。
根据定义,等效声级表示为:

式中:LA-t时刻的瞬时A声级;
T―规定的测量时间段。
3.5
边界 boundary
由法律文书(如土地使用证、房产证、租赁合同等)中确定的业主所拥有使用权(或所有权)的场所或建筑物边界。各种产生噪声的固定设备、设施的边界为其实际占地的边界。
更多标准内容点击以下链接下载标准全文:
下载地址:《GB 22337-2008社会环境噪音排放标准》
2 规范性引用文件
本标准内容引用了下列文件或其中的条款。凡是不注日期的引用文件,其有效版本适用于本标准。
GB 3785 声级计的电、声性能及测试方法
GB/T 3241 倍频程和分数倍频程滤波器
GB/T 15173 声校准器
GB/T 17181 积分平均声级计
3 术语和定义
下列术语和定义适用于本标准。
3.1
社会生活噪声 community noise
指营业性文化娱乐场所和商业经营活动中使用的设备、设施产生的噪声。
3.2
噪声敏感建筑物 noise-sensitive buildings
指医院、学校、机关、科研单位、住宅等需要保持安静的建筑物。
3.3
A声级 A-weighted sound pressure level
用A计权网络测得的声压级,用LA表示,单位dB(A)。
3.4
等效连续A声级 equivalent continuous A-weighted sound pressure level
简称为等效声级,指在规定测量时间T内A声级的能量平均值,用瓦eq,:表示(简写为Leq)单位dB(A)。除特别指明外,本标准中噪声限值皆为等效声级。
根据定义,等效声级表示为:

式中:LA-t时刻的瞬时A声级;
T―规定的测量时间段。
3.5
边界 boundary
由法律文书(如土地使用证、房产证、租赁合同等)中确定的业主所拥有使用权(或所有权)的场所或建筑物边界。各种产生噪声的固定设备、设施的边界为其实际占地的边界。
更多标准内容点击以下链接下载标准全文:
下载地址:《GB 22337-2008社会环境噪音排放标准》