GB 12348-2008 工业企业厂界环境噪声排放标准
发布时间:2018-5-11 来源:SCT
1 适用范围本标准规定了工业企业和固定设备厂界环境噪声排放限值及其测量方法。
本标准适用于工业企业噪声排放的管理、评价及控制。机关、事业单位、团体等对外环境排放噪声的单位也按本标准执行。
2 规范性引用文件
本标准内容引用了下列文件或其中的条款。凡是不注日期的引用文件,其有效版本适用于本标准。
GB 3096 声环境质量标准
GB 3785 声级计的电、声性能及测试方法
GB/T 3241 倍频程和分数倍频程滤波器
GB/T 15173 声校准器
GB/T 15190 城市区域环境噪声适用区划分技术规范
GB/T 17181 积分平均声级计
3 术语和定义
下列术语和定义适用于本标准。
3.1
工业企业厂界环境噪声industrial enterprises noise
指在工业生产活动中使用固定设备等产生的、在厂界处进行测量和控制的干扰周围生活环境的声音。
3.2
A声级A-weighted sound pressure level
用A计权网络测得的声压级,用LA表示,单位dB(A)。
3.3
等效连续A声级equivalent continuous A-weighted sound pressure level
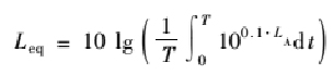
简称为等效声级,指在规定测量时间T内A声级的能量平均值,用LAeq,:表示(简写为Leq),单位dB(A)。除特别指明外,本标准中噪声值皆为等效声级。
根据定义,等效声级表示为:

式中:LA---t时刻的瞬时A声级;
T―规定的测量时间段。
3.4
厂界boundary
由法律文书(如土地使用证、房产证、租赁合同等)中确定的业主所拥有使用权(或所有权)的场所或建筑物边界。各种产生噪声的固定设备的厂界为其实际占地的边界。
更多标准内容点击以下链接获取标准全文:
下载地址:《GB 12348-2008 工业企业厂界环境噪声排放标准》