HJ 601-2011 水质 甲醛的测定 乙酰丙酮分光光度法
1 适用范围
本标准规定了测定水中甲醛的乙酰丙酮分光光度法。
本标准适用于地表水、地下水和工业废水中甲醛的测定,本标准不适用于印染废水。
当试样体积为25 ml,比色皿光程为10 mm,方法检出限为0.05 mg/L,测定范围为0.20 mg/L-3.20 mg/L。
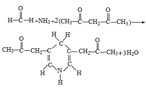
2 方法原理
甲醛在过量铵盐存在下,与乙酰丙酮生成黄色的化合物,该有色物质在414nm波长处有最大吸收。有色物质在3h内吸光度基本不变。
化学反应式为:
本标准适用于地表水、地下水和工业废水中甲醛的测定,本标准不适用于印染废水。
当试样体积为25 ml,比色皿光程为10 mm,方法检出限为0.05 mg/L,测定范围为0.20 mg/L-3.20 mg/L。
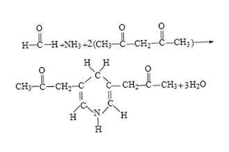
2 方法原理
甲醛在过量铵盐存在下,与乙酰丙酮生成黄色的化合物,该有色物质在414nm波长处有最大吸收。有色物质在3h内吸光度基本不变。
化学反应式为:

3 干扰及消除
水样中乙醛质量浓度小于3 mg/L,丙醛、丁醛、丙烯醛等分别小于5 mgIL时不干扰测定。此外当甲醇为20 mg/L,苯酚为50 mgIL,游离氰为1 mg/L时未见干扰。
4 试剂和材料
本标准除另有说明外,所用试剂均应为符合国家标准或专业标准的分析纯试剂,实验用水为蒸馏水或同等纯度的水。
4.1 硫酸:ρ(H2SO4)=1.84g/ml
4.2 氢氧化钠:c(NaOH)=1mol/L
称取 110 g 氢氧化钠,溶于 100 ml 水中,摇匀,移入聚乙烯容器中,密闭放置至溶液清亮。量取上层清液 54 ml,用水稀释至 1000 ml,混匀。
4.3 硫酸溶液:c(1/2H2SO4)=1mol/L
量取硫酸(4.1)30 ml,缓缓注入 1 000 ml 水中,冷却,混匀。
4.4 硫酸溶液:c(1/2H2SO4)=6 mol/L
量取硫酸(4.1)180 ml,缓缓注入 850 ml 水中,冷却,混匀。
如需查看标准全部内容请免费下载标准,点击下方链接。
下载地址:《HJ 601-2011 水质 甲醛的测定 乙酰丙酮分光光度法》