首页 返回 新闻科普

QB/T 4952-2016 化妆品用原料 抗坏血酸磷酸酯镁

信息详细

QB/T 4952-2016 化妆品用原料 抗坏血酸磷酸酯镁

1 范围

      本标准规定了化妆品用原料抗坏血酸磷酸醋镁的要求、试验方法、检验规则、标志、包装、运输、贮存和保质期。

      本标准适用于以抗坏血酸为原料经与三氯氧化磷(POCl3)化学反应合成的,应用于化妆品的抗坏血酸磷酸酯镁。

2 规范性引用文件
      
下列文件对于本文件的应用是必不可少的。凡是注日期的引用文件,仅注日期的版本适用于本文件。凡是不注日期的引用文件,其最新版本(包括所有的修改单)适用于本文件。

      GB/T 191 包装储运图示标志

      GB/T 601 化学试剂 标准滴定溶液的制备

      GB/T 602 化学试剂 杂质测定用标准溶液的制备

      GB/T 603 化学试剂 试验方法中所用制剂及制品的制备

      GB/T 613 化学试剂 比旋光本领(比旋光度)测定通用方法

      GB/T 3143 液体化学产品颜色测定法

      GB/T 6678 化工产品采样总则

      GB/T 6679 固体化工产品采样通则

      GB/T 6682 分析实验室用水规格和试验方法

      GB/T 8170 数值修约规则与极限数值的表示和判定

      GB/T 13531.1 化妆品 通用检验方法 pH值的测定

      《化妆品卫生规范》

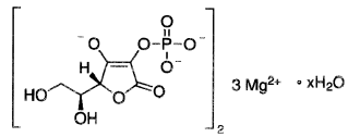
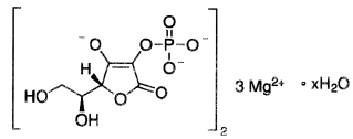
3 产品化学名称、INCI名称、分子式、相对分子质量、CAS号、结构式

      化学名称:L-抗坏血酸-2-磷酸酯镁

      INCI名称:Magnesium Ascorbyl Phosphate

分子式:C6H609P3/2Mg・xH2O

相对分子质量:289.54(以无水物计,按2009年国际相对原子质量)

CAS号:113170-55-1

      结构式:
      
 

4 要求

      抗坏血酸磷酸酯镁的理化指标和卫生指标应符合表1要求。


更多标准内容点击以下链接获取标准全文:

下载地址:《QB/T 4952-2016 化妆品用原料 抗坏血酸磷酸酯镁

电话: 076982652668
广东华科检测技术服务有限公司 版权所有