首页 返回 新闻科普

GB 1886.105-2016 食品安全国家标准 食品添加剂 辣椒橙

信息详细

GB 1886.105-2016 食品安全国家标准 食品添加剂 辣椒橙

范围

本标准适用于以辣椒果皮及其制品为原料,经萃取、过滤、浓缩、脱辣椒素等工艺制成的食品添加剂辣椒橙。

分子式、结构式和相对分子质量
2.1 分子式

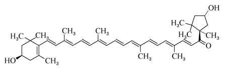
辣椒红素:C40H56O3

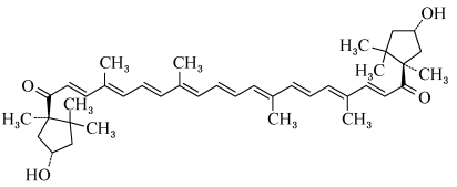
辣椒玉红素:C40H56O4

2.2 结构式 

      辣椒红素:

       

      辣椒玉红素:


2.3 
相对分子质量

      辣椒红素:584.87 (2007年国际相对原子质量)

      辣椒玉红素:600.87 (2007年国际相对原子质量)

技术要求

3.1 感官要求

      感官要求应符合表1的规定。


更多标准内容点击以下链接获取标准全文:

下载地址:《GB 1886.105-2016 食品安全国家标准 食品添加剂 辣椒橙


电话: 076982652668
广东华科检测技术服务有限公司 版权所有