首页 返回 新闻科普

GB 1886.116-2015 食品安全国家标准 食品添加剂 木糖醇酐单硬脂酸酯

信息详细

GB 1886.116-2015 食品安全国家标准 食品添加剂 木糖醇酐单硬脂酸酯

范围
      
本标准适用于由木糖醇或木糖醇母液与硬脂酸反应而成的食品添加剂木糖醇酐单硬脂酸

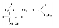
分子式、结构式和相对分子质量

2.1 分子式

      C23H44O5

2.2 结构式

      

2.3 相对分子质量

      400.59(按2007年国际相对原子质量)

技术要求

3.1 感官要求

      感官要求应符合表1的规定。

感官要求

项目

要求

检验方法

色泽

淡黄色或棕黄色

取适量试样置于白瓷盘内,在自然光线下,观察其色泽和状态

状态

蜡状固体

3.2 理化指标

      理化指标应符合表2的规定。


更多标准内容点击以下链接获取标准全文:

下载地址:《GB 1886.116-2015 食品安全国家标准 食品添加剂 木糖醇酐单硬脂酸酯

电话: 076982652668
广东华科检测技术服务有限公司 版权所有