首页 返回 新闻科普

GB 1886.176-2016 食品安全国家标准 食品添加剂 异构化乳糖液

信息详细

GB 1886.176-2016 食品安全国家标准 食品添加剂 异构化乳糖液

范围

本标准适用于以乳糖为原料,在加热条件下经碱或不经碱异构化制得的食品添加剂异构化乳糖液,或再经干燥制成的固体产品。

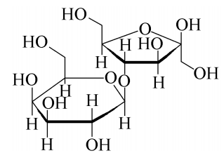
主成分的结构式、分子式、相对分子质量

2.1 结构式


 

      



2.2 分子式

      C12H22O11

2.3 相对分子质量

      342.30(按2011年国际相对原子质量)

技术要求

3.1 感官要求

      感官要求应符合表1的规定。

感官要求

项目

要求

检验方法

固体

液体

色泽

白色或近白色

无色至深黄色

取适量固体和液体试样分别置于白瓷盘和比色管中,在自然光线下观察其色泽和状态

状态

结晶性粉末

透明液体

3.2 理化指标

      理化指标应符合表2的规定。


更多标准内容点击以下链接获取标准全文:

下载地址:《GB 1886.176-2016 食品安全国家标准 食品添加剂 异构化乳糖液

电话: 076982652668
广东华科检测技术服务有限公司 版权所有