首页 返回 新闻科普

GB 1886.217-2016 食品安全国家标准 食品添加剂 亮蓝

信息详细

GB 1886.217-2016 食品安全国家标准 食品添加剂 亮蓝

范围

本标准适用于以苯甲醛邻磺酸与N-乙基,N-3-磺基苄基-苯胺为原料经缩合、氧化而得的食品添加剂亮蓝。

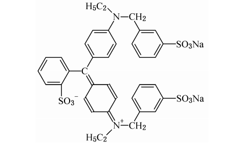
化学名称、分子式、结构式和相对分子质量
2.1 化学名称

3-[N--N-4-[4-N--N-3-磺基苄基-氨基]苯基](2-磺基苯基)亚甲基]-2,5-环己二烯基-1-亚基]氨基甲基]-苯磺酸二钠盐

2.2 分子式

      C37H34N2Na2O9S3

2.3 结构式

 

 


2.4 相对分子质量

     792.85(按2013年国际相对原子质量)

技术要求

3.1 感官要求

      感官要求应符合表1的规定。


更多标准内容点击以下链接获取标准全文:

下载地址:《GB 1886.217-2016 食品安全国家标准 食品添加剂 亮蓝 


电话: 076982652668
广东华科检测技术服务有限公司 版权所有