首页 返回 新闻科普

GB 1886.230-2016 食品安全国家标准 食品添加剂 抗坏血酸棕榈酸酯

信息详细

GB 1886.230-2016 食品安全国家标准 食品添加剂 抗坏血酸棕榈酸酯

范围

本标准适用于用棕酸与氯化亚矾反应制取棕榈酰氯后与抗坏血酸反应制得的食品添加剂抗坏血酸棕

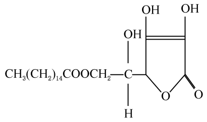
化学名称、分子式、结构式和相对分子质量

2.1 化学名称

      抗坏血酸十六酸

2.2 分子式

C22H38O7

2.3 结构式

      


2.4 相对分子质量

      414.56(2013年国际相对原子质量)

技术要求

3.1 感官要求

      感官要求应符合表1的规定。

感官要求

项目

要求

检验方法

色泽

白色或黄白色

将适量试样均匀置于白瓷盘内,于自然光线下观察其色泽和状态

状态

粉末


更多标准内容点击以下链接获取标准全文:

下载地址:《GB 1886.230-2016 食品安全国家标准 食品添加剂 抗坏血酸棕榈酸酯 

电话: 076982652668
广东华科检测技术服务有限公司 版权所有